בחורף 97-98 ירד בבאר שבע ברד
- ☼
- ●
- סופות למיניהן חנוך א
- 858
- מיקום: רמת גן
- 858
אינקובטור הטורנדו בפעולה
- ☼
- ●
- ברד באוקלהומה אתמול חנוך א
- 359
- 359
- ☼
- o
- מדהים אותי כל פעם מחדש הברד שם, אין שם כדורים קטנים, ישר כדורי טניס חחח תום
- 135
- מיקום: קרית חיים
- 135
- ☼
- o
- מדהים גודל הברד והעובדה שזה לא משהו חריג שם שי ל
- 108
- מיקום: ביתר עילית
- גובה: 717 מטר
- 108
- ☼
- o
- החזית נדדה לצפון לואיזיאנה ונחלשה חנוך א
- 176
- מיקום: רמת גן
- 176
- ☼
- o
- אתר סקי בקווקז הרוסי בסוף פברואר חנוך א
- 203
- מיקום: רמת גן
- 203
- ☼
- ●
- אתר סקי איטלקי Sestriere חנוך א
- 185
- מיקום: רמת גן
- 185
סוף פברואר 2019
- ☼
- o
- תחזית ל-10 ימים לאנדים בקולומביה חנוך א
- 256
- מיקום: רמת גן
- 256
- ☼
- o
- מטורף. הלוואי עלינו כזו כמות בחודש שי ל
- 58
- מיקום: ביתר עילית
- גובה: 717 מטר
- 58
- ☼
- o
- וואו! 50 מ''מ ביום זו כמות מדהימה תום
- 89
- מיקום: קרית חיים
- 89
- ☼
- ●
- הסופות מכסות שטח נרחב חנוך א
- 132
- מיקום: רמת גן
- 132
אבל העוצמות לא מספיקות לטורנדו
- ☼
- ●
- סרטון ברד חביב חנוך א
- 249
- 249
- ☼
- ●
- ואחד ממש נחמד חנוך א
- 142
- 142
- ☼
- ●
- מטורף!!! תום
- 43
- מיקום: קרית חיים
- 43
נראה ממש כמו להיות תחת אש.
חנוך #14 אף פעם לא נמאס לראות סרטוני ברד, ועוד במיוחד כאלה קיצוניים, מודה שעכשיו ראיתי רק את ההתחלה (אראה את הסרטון-סרט המלא בערב) אבל זה באמת פסיכי לגמרי. כמו ש-dji כתב, סכנת מוות הברד הזה, מעבר לנזק העצום
חנוך #14 אף פעם לא נמאס לראות סרטוני ברד, ועוד במיוחד כאלה קיצוניים, מודה שעכשיו ראיתי רק את ההתחלה (אראה את הסרטון-סרט המלא בערב) אבל זה באמת פסיכי לגמרי. כמו ש-dji כתב, סכנת מוות הברד הזה, מעבר לנזק העצום
ההודעה נערכה
- ☼
- ●
- מטורף. ממש בלוקים מקרח שי ל
- 62
- מיקום: ביתר עילית
- גובה: 717 מטר
- 62
איך הם חיים שם?
- ☼
- ●
- ואם לא נמאס לכם חנוך א
- 132
- 132
- ☼
- o
- מטורף.. דבר כזה נןפל עליך ממאות מטרים.. סכנת מוות Dji
- 66
- מיקום: karkoor
- 66
- ☼
- ●
- אכן סכנת - מוות ! אמליה
- 48
- מיקום: גילת - צפון הנגב
- 48
משלחת מדענים, מטעם נשיונל ג'יאוגרפיק גילתה בשנת 2004 כי מותם בתקופה הפרה-היסטורית של כ-200 נוודים, שגופותיהם נמצאו בהרי- ההימלאיה עם גולגולות שבורות, היה כתוצאה מסופת ברד עם כדורי ענק קטלניים.
ההודעה נערכה
- ☼
- ●
- וואו! ממש נשמע סצנה מסרט אימה. צריך הרבה מאד כוח כדי לשבור תום
- 58
- מיקום: קרית חיים
- 58
גולגולת, אני מניח, מעניין מה היה גודלם של אותם כדורי ברד
ההודעה נערכה
- ☼
- ●
- הברד האמתני שתועד אי- פעם, היה בגודל 18 ס"מ ובקוטר - 48 ס"מ אמליה
- 89
- מיקום: גילת - צפון הנגב
- 89
ובאלכסנדריה שבמצרים נפלו ב-1998 כדורי ברד
"בגודל אשכולית", כפי שתואר על ידי המרכז הלאומי
לחקר מטארולוגיה.
"בגודל אשכולית", כפי שתואר על ידי המרכז הלאומי
לחקר מטארולוגיה.
- ☼
- o
- מימדי ברד שקשה לתפוס תום
- 72
- מיקום: קרית חיים
- 72
- ☼
- ●
- התכוונת קוטר 18 והיקף 48 אהוד
- 55
- מיקום: דרום
- 55
כלומר קרוב ל- 3 ק"ג ליחידה :)
כשהוא מגיע במהירות של 150-200 קמ"ש עדיף להיות בממ"ד
כשהוא מגיע במהירות של 150-200 קמ"ש עדיף להיות בממ"ד
ההודעה נערכה
- ☼
- ●
- חחחח איך חישבת שזה קרוב ל-3 ק''ג? (נטו כדי לדעת) תום
- 70
- מיקום: קרית חיים
- 70
אמליה #34 מודה שלא הבנתי (חלש מאד במתמטיקה :-))
ההודעה נערכה
- ☼
- ●
- שוקל כשווה ערך, למהירות הנפילה. אמליה
- 50
- מיקום: גילת - צפון הנגב
- 50
אה ודרך אגב, כמעט השבוע פגע בנו אסטרואיד
שלא ידעו על קיומו. ורק בדקה ה- 90 הוא נצפה
אומנם קטן יחסית. היה במרחק 7000 ק"מ מכדור- הארץ.
נדמה לי הכי קרוב אלינו עד כה.
שלא ידעו על קיומו. ורק בדקה ה- 90 הוא נצפה
אומנם קטן יחסית. היה במרחק 7000 ק"מ מכדור- הארץ.
נדמה לי הכי קרוב אלינו עד כה.
ההודעה נערכה
- ☼
- ●
- נוסחת נפח כדור כפול צפיפות החומר אהוד
- 355
- מיקום: דרום
- 355
נפח כדור: 4 כפול 3.14 כפול הרדיוס בחזקת 3, כל זה חלקי 3.
צפיפות של קרח: בערך 0.91 גר'/סמ"ק
מכיוון שזה לא בדיוק כדור מושלם אז זה כמובן לא מדויק.
צפיפות של קרח: בערך 0.91 גר'/סמ"ק
מכיוון שזה לא בדיוק כדור מושלם אז זה כמובן לא מדויק.
- ☼
- ●
- מרשים! מודה שלא הבנתי מדוע המספרים האלה (למה 4 כפול פאי) תום
- 58
- מיקום: קרית חיים
- 58
אבל אני באמת חלש במתמטיקה אז לא אתעמק. תודה רבה על ההסבר
- ☼
- ●
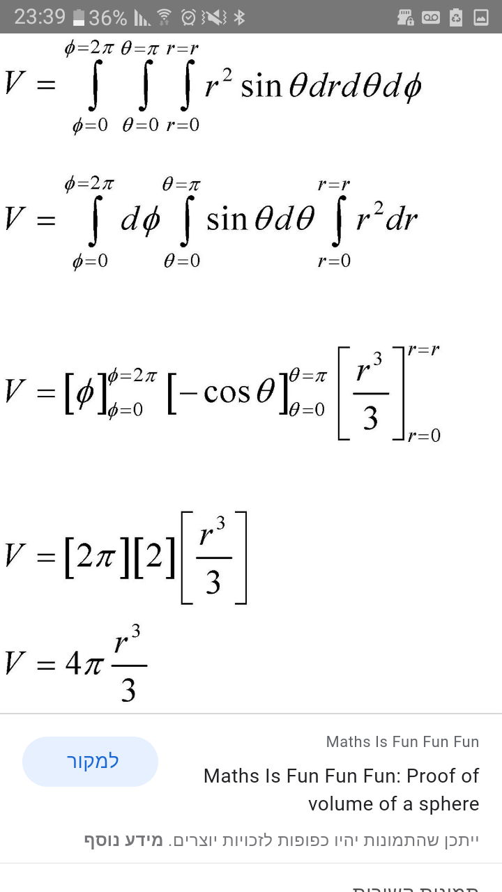
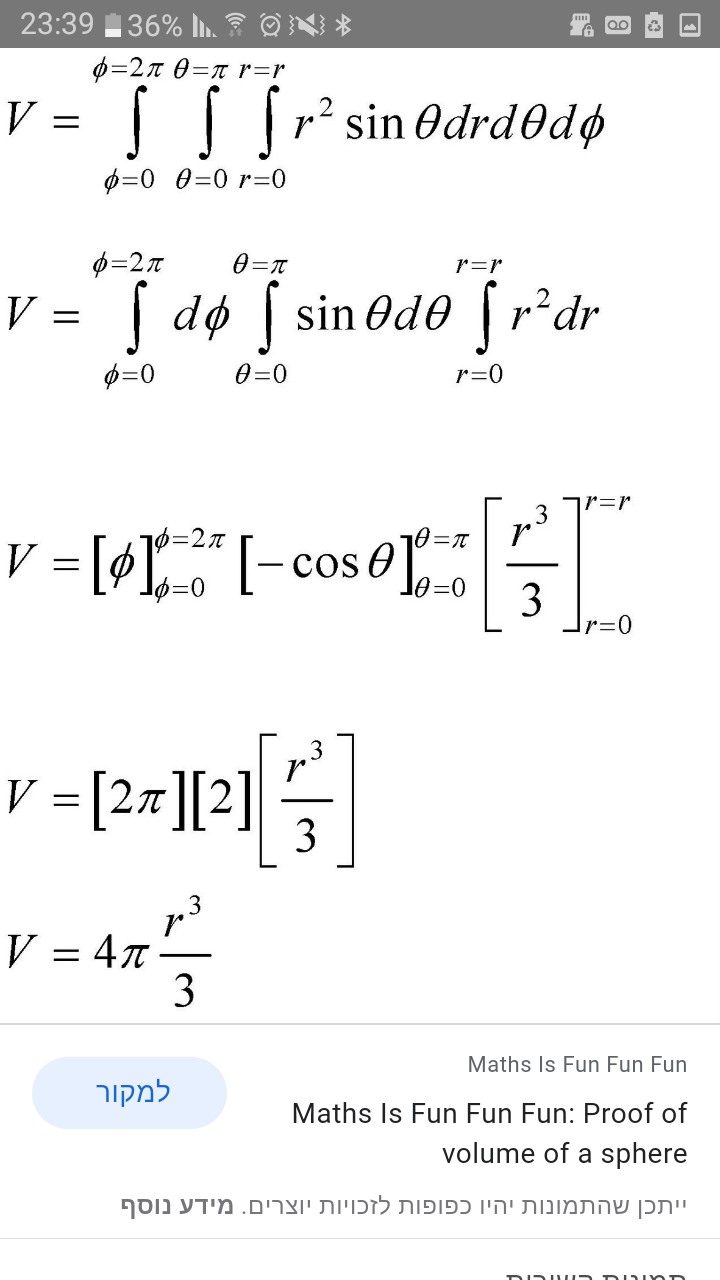
- כדי באמת להבין את ההסבר אהוד
- 45
- מיקום: דרום
- 45
חייבים מעט מתמטיקה, לא מדובר בהסבר אינטואיטיבי.
ראה תמונה שצירפתי.
ראה תמונה שצירפתי.
- ☼
- o
- עכשיו מצורפת :) אהוד
- 90
- ☼
- o
- חחח, הפתרונות לחנוך ! הוא היה מורה לפיזיקה ( : אמליה
- 37
- מיקום: גילת - צפון הנגב
- 37
- ☼
- o
- זה לא כדור יפה ועגול, זה נראה יותר גבישי ברד, שהקפאו ביחד. אמליה
- 72
- מיקום: גילת - צפון הנגב
- 72
- ☼
- o
- נכון ! טעות שלי. אמליה
- 60
- מיקום: גילת - צפון הנגב
- 60
- ☼
- o
- עכשיו אפשר להבין את אחת ממכות מצרים,וואחד מכה חמי
- 70
- מיקום: צהלה צפון-מזרח תא
- 70
- ☼
- ●
- מצריים לפני חודשיים חנוך א
- 140
- 140
- ☼
- ●
- פ ס י כ י! כל סרטון שאתה מעלה יותר קיצוני מקודמו, הזוי לאיזה גודל תום
- 50
- מיקום: קרית חיים
- מזג אוויר: בהיר
- טמפרטורה: 25.5°
- 50
וקטלניות מגיעים כדורי הברד שם
- ☼
- ●
- כפי שראית בהדגמה - היה ברד של 20 ס"מ קוטר חנוך א
- 129
- 129
והנה סרטון טורנדו ground zero
- ☼
- ●
- הרבה הבזקים, נראה אלים מאד תום
- 72
- מיקום: קרית חיים
- 72
אהוד #23 מעניין לשמוע שאירוע בסדר גודל כזה קרה פה ומעניין גם שהוא קרה לפני 23 שנים.
לגבי הסרטון של תגובה 14 (סרטון-סרט של 12 דקות) - אני עדיין באמצעו ובאמת, כל סופת ברד שהם חווים היא קיצונית, ברד ענק ובעוצמה מטורפת, לא מקנא במי שגר במקומות האלה שחוטפים כאלה מכות ברד בכל שנה
לגבי הסרטון של תגובה 14 (סרטון-סרט של 12 דקות) - אני עדיין באמצעו ובאמת, כל סופת ברד שהם חווים היא קיצונית, ברד ענק ובעוצמה מטורפת, לא מקנא במי שגר במקומות האלה שחוטפים כאלה מכות ברד בכל שנה
ההודעה נערכה
- ☼
- o
- מטורף,נראה כמו הפצצות... חמי
- 51
- מיקום: צהלה צפון-מזרח תא
- 51
- ☼
- ●
- לגמרי! כל סרטון של סופת ברד הוא הפגזה מהשמים. ממליץ להסתכל, תום
- 109
- מיקום: קרית חיים
- 109
ככל הניתן, עד הסוף על הסרטון של תגובה 14 (12 דקות) יש שם את סופות הברד הקיצוניות ביותר, פשוט מפחיד
- ☼
- ●
- בחורף 97-98 ירד בבאר שבע ברד אהוד
- 1,041
- ☼
- ●
- הנה תיעוד של המקרה בקישור המצורף אהוד
- 149
- ☼
- o
- לאחר התחלה מאכזבת, האקשן מתחיל חנוך א
- 107
- מיקום: רמת גן
- 107
- ☼
- o
- חנוך, מה השעה שם כעת ? אמליה
- 67
- מיקום: גילת - צפון הנגב
- 67
- ☼
- o
- סביב 3 אחה''צ תום
- 46
- מיקום: קרית חיים
- 46
- ☼
- o
- תודה ! יש איפה שהוא שניתן, לצפות בשידורים ישירים ? אמליה
- 27
- מיקום: גילת - צפון הנגב
- 27
- ☼
- ●
- שיא הסופה הוא ב- Lake Charles חנוך א
- 49
- 49
- ☼
- ●
- וואווו, תודה ! תודה ! אמליה
- 36
- מיקום: גילת - צפון הנגב
- 36
אולי אנשים מעלים, סרטונים- בלייב בפייס'
אנסה לבדוק, אם אמצא אני יעלה.
אנסה לבדוק, אם אמצא אני יעלה.
ההודעה נערכה
- ☼
- o
- הסופה חלפה ואפשר לראות את הנוף במצלמות חנוך א
- 35
- 35
- ☼
- ●
- עם כל הכבוד ל-2.5 ברקים בלבנון חנוך א
- 102
- מיקום: רמת גן
- 102
ככה נראית סופה אמיתית בלואיזיאנה
ואפילו בצפון ספרד קורה משהו
ואפילו בצפון ספרד קורה משהו
- ☼
- ●
- בארה''ב לא מתחילים את היום בלי איזה 100 ברקים וגם זה מעט בשבילם תום
- 39
- מיקום: קרית חיים
- 39
אהוד #44 זה נראה לי סינית חחחחח אבל אני באמת ממש מעריך את מאמציך והשקעתך בלהסביר לי את זה, באמת, תודה רבה רבה :-)
חנוך #38 מודה שאני לא מבין את הסימון המוזר הזה של ההתרעה מפני סופות טורנדו (הריבועים האדומים האלה) - קשה ככה לדעת איפה בדיוק צפוי טורנדו, לא?
חנוך #38 מודה שאני לא מבין את הסימון המוזר הזה של ההתרעה מפני סופות טורנדו (הריבועים האדומים האלה) - קשה ככה לדעת איפה בדיוק צפוי טורנדו, לא?
ההודעה נערכה
- ☼
- ●
- למי שתוהה איך נראה טורנדו במכ"מ חנוך א
- 144
- מיקום: רמת גן
- 144
ובכן טורנדו נראה כמו קרס של חכה, וזאת משום שהוא יוצר מין עיגול קצת בדומה להוריקן קטן
- ☼
- ●
- קודם כל תודה רבה שהראית לנו איך זה נראה במכ''ם וגם על השידור הישיר תום
- 55
- מיקום: קרית חיים
- 55
משם, רק מודה שלא הבנתי משהו לגבי צורת הטורנדו במכ''ם - צורת הקרס היא המשפך או כל הענן?
- ☼
- o
- אופס... אותה שאלה, של תום. אמליה
- 59
- ☼
- ●
- הנה שידור התרעת טורנדו חנוך א
- 88
- 88
ההודעה נערכה
- ☼
- ●
- יוואוווו, איזה עננים יורדים אליהם, במצלמות. אמליה
- 68
- מיקום: גילת - צפון הנגב
- 68
תודה ! חנוך, על שיתוף הלינק
מפחיד ומרתק !
מפחיד ומרתק !
ההודעה נערכה
- ☼
- o
- הסופות נעו ונחלשו פרט לגבול מקסיקו חנוך א
- 77
- מיקום: רמת גן
- 77
הוספת דיווח
מקרא סימנים
הוספת תגובה- ☼ הודעה חדשה
- ● הודעה עם תוכן
- o הודעה ללא תוכן
משקיען
מדווח מאתר סקי
מדווח מלב ים

