בני דרור ותל יצחק, ובנוסף קיבוץ דליה היום
- ☼
- o
- חלק מסיכום שמ"ט לפברואר 2024 חנוך א
- 757
- מיקום: רמת גן
- 757
- ☼
- o
- חלק 2 חנוך א
- 292
- מיקום: רמת גן
- 292
- ☼
- o
- חלק 3 חנוך א
- 206
- מיקום: רמת גן
- 206
- ☼
- o
- חלק 4 חנוך א
- 236
- מיקום: רמת גן
- 236
- ☼
- o
- בית ינאי בפברואר - פי 4 מהממוצע לחודש חנוך א
- 330
- מיקום: רמת גן
- 330
- ☼
- ●
- בני דרור ותל יצחק, ובנוסף קיבוץ דליה היום חנוך א
- 430
- ☼
- ●
- וואו מטורף דרור
- 38
- 38
איזה כיף
- ☼
- o
- מטורף נעם
- 21
- מיקום: נתניה מזרח
- 21
- ☼
- ●
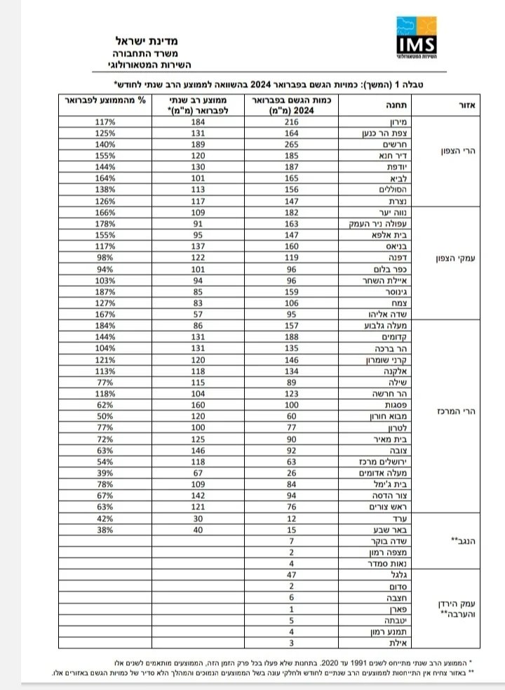
- אשקלןם פברואר 95.5 מעט מעל הממוצע יאיר
- 166
- מיקום: אשקלןן
- 166
אבל שנת בצורת השנה 376 ממ בינתים . מאז שאני מודד 20 שנה זו השנה החמישית הכי יבשה
- ☼
- ●
- בין 120 ל140 ממ פער בהרי ירושלים דובי
- 221
- מיקום: מערב ירושלים
- 221
בין צובה וצור הדסה בצדדי מערב שם סביב ה500, לבין מרכז ירושלים שם נמדדו רק 377 ממ. כמובן שם בדרך כלל יורד יותר. אך מדובר בפער די חריג. שנה בהחלט חריגה, והאמת שבהרבה מובנים..
ההודעה נערכה
- ☼
- ●
- שים לב לפער המטורף בתור אשקלון אצלימסביב 376 יאיר
- 230
- מיקום: אשקלןן
- 230
בתחנהבדרןם העיר( לא נמל( 516. והפער נבע בעיקר הגלל רכבת מאוד צרה בינוארהשישבה על אזור זיקים עד דרום אשקלום שם המטירה 150 ממ בעוד אצלי כ60 ממ.
- ☼
- ●
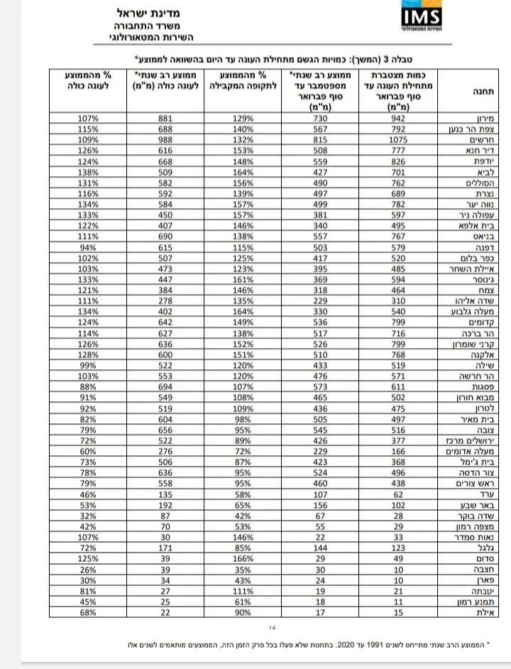
- באחוזים מהשנתי במפת השמ"ט חנוך א
- 185
- מיקום: רמת גן
- 185
כל אזור אשקלון במצב לא רע יחסית לסביבה
כאשר זיקים מעל 110% מהשנתי והכי נמוך באשקלון בסביבות 90% מהשנתי
כאשר זיקים מעל 110% מהשנתי והכי נמוך באשקלון בסביבות 90% מהשנתי
- ☼
- ●
- מנש לא מדויק אנחנן בצפןן אשקלון סביב 78 אחוז שנתי יאיר
- 108
- מיקום: אשקלןן
- 108
עד כה ירדו 376 ממ בצפון אשקלון הממוצע סוף מרץ זה בערך 460 ממ
- ☼
- ●
- השמא לוקח את המדידה של הנמל ובין זה לעיר אשקלןן אין שום קשר יאיר
- 90
- מיקום: אשקלןן
- 90
חוץ מזה שזה בשטח המונצפלי של העיר. אבל זה רחוק מהמדידןת בתוך העיר.
- ☼
- ●
- ספטמבר אצלי היה ענן עם גשם בעוצמות 150ממ לשעה יואב
- 36
- מיקום: תל אביב - יפו
- גובה: 6 מטר
- 36
אבל הוא היה בקוטר קילומטר ולכן הוריד אצלי בערך 40-50 מ״מ בפרק זמן קצר בעוד שבתחנת חוף תל אביב שנמצאת פחות מ2 ק״מ בקו אווירי ממני נמדד רק 7 מ״מ
- ☼
- o
- תודה חנוך על השיתוף. מתנאל
- 61
- מיקום: ירושלים
- 61
הוספת דיווח
מקרא סימנים
הוספת תגובה- ☼ הודעה חדשה
- ● הודעה עם תוכן
- o הודעה ללא תוכן
משקיען
מדווח מאתר סקי
מדווח מלב ים

